Bremelanotide (PT-141) Peptide – Libido & Intimacy Support
Bremelanotide PT‑141 is a synthetic peptide and melanocortin receptor agonist known for its activity in central nervous system pathways. Originally developed from the melanotan‑II structure, it is widely used in research focused on sexual health, neuroendbing.comcrinology, and melanocortin signaling.
Key Features:
-
Melanocortin Receptor Agonist – Targets MC3R and MC4R pathways
-
High Purity – ≥98% verified by HPLC and mass spectrometry
-
Lyophilized Powder – Stable, easy reconstitution for research applications
-
Consistent Quality – Ideal for reproducible in vivo and in vitro studies
Common Research Applications: Bremelanotide PT‑141
-
Neuroendocrinology and receptor signaling
-
Sexual behavior and motivation studies
-
Melanocortin system pharmacology
-
Central nervous system research
| Unit Size | 10 mg/vial |
| Unit Quantity | 1 Vial |
| Molecular Formula | C50H68N14O10 |
| Molecular Weight | 1025*16 |
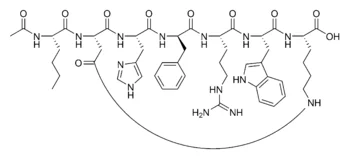
| Sequence | Ac-Nle-cyclo(Asp-His-D-Phe-Arg-Trp-Lys-OH) |
| Appearance | White Powder |
| Peptide Purity | >99% |
| Solubility | >Soluble in water or 1% acetic acid |
| Identity (ESI-MS) | 1025.16±1.0 |
| Source | Chemical Synthesis |
| Storage | Lyophilized Bremelanotide (PT141) is stable at room temperature for 90 days, however it should be stored in a freezer below -8C for any extended period of time. After reconstituting Bremelanotide (PT141) should be refrigerated at temperatures not to exceed 36 F. |
| WARNING | This product is a lyophilized peptide for research use only. This product is NOT for human use and can be harmful if ingested. This product is for research/laboratory use only. This product is NOT in a sterile solution and is NOT to be injected. This product should only be handled by licensed, qualified professionals. If you buy peptides online from us, they are not peptides for bodybuilding. This product is not a drug, food, or cosmetic and should not be misbranded, misused or mislabeled as a drug, food or cosmetic. |
















